Метод Остроградского
Михаилу Васильевичу Остроградскому, который родился 12 (24) сентября 1801 года, в истории русской математики принадлежит одно из наиболее почетных мест. Результаты многих его научных исследований вошли в учебники, но многие его крупнейшие достижения, как это часто случалось с работами русских ученых, остались неизвестными широким научным кругам Запада и позднее были заново получены другими исследователями. Однако несмотря на то, что лишь относительно небольшая часть его исследований стала достоянием современной ему европейской науки, его имя получило широкое признание далеко за пределами родины. Михаил Остроградский был избран академиком не только Российской, но также Туринской, Римской, Американской академий и членом-корреспондентом Парижской академии наук, в то время наиболее сильной по научному весу.
Достижения
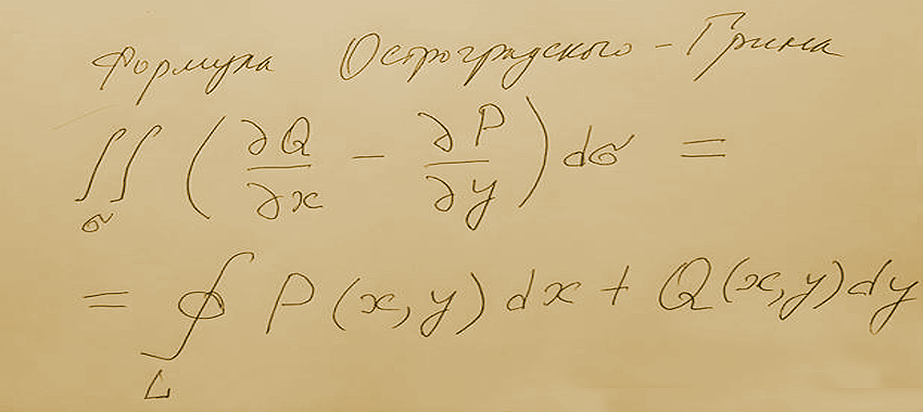
Михаил Остроградский установил, независимо от английского ученого Уильяма Гамильтона, один из важнейших законов механики, так называемый принцип наименьшего действия. Он сформулировал в наиболее общем виде принцип возможных перемещений, устранив в работах Жозефа Луи Лагранжа, создателя этого принципа, ненужные ограничения и исправив допущенные Лагранжем ошибки в выводе уравнений динамики. Любопытно отметить, что в 1840 году Парижская академия наук объявила премию за решение проблемы, уже решенной за шесть лет до этого Остроградским. Эта премия была присуждена французскому математику Пьеру Фредерику Саррюсу за сочинение, содержавшее, кстати сказать, ошибочные заключения. В этом же мемуаре в 1834 году Остроградский вывел важнейшую формулу кратного интегрирования, позволяющую вычисление n-кратного интеграла сводить к вычислению (n-1)-кратного. Эта формула в частном случае при n = 3 известна каждому изучавшему курс математического анализа или математической физики. Она известна под названием формулы Остроградского. Исследования Михаила Остроградского по математической физике касаются весьма разнообразных вопросов: распространения тепла, распространения волн на поверхности жидкости, теории удара, уравнений движения упругого тела.
Несколько работ Остроградского посвящено баллистике. Вкупе с исследованиями по небесной механике они привели его к мысли начать работу в области приближенных вычислений, где им даны важные формулы. Значительный интерес Остроградский проявил к теории алгебраических функций и опубликовал в этом направлении ряд своих исследований. Три работы Остроградского посвящены теории вероятностей. Во введении к одной из них он говорит, что она может иметь практическое применение при браковке принимаемых материалов. Это замечание характерно для всей деятельности Михаила Остроградского, который привык считать, что прогресс теоретической науки неразрывно связан с приложениями ее результатов к практике.
По математической физике Остроградский написал пятнадцать работ. Большая их часть относится к задачам распространения тепла, теории упругости, гидродинамики. Наибольшее научное значение имеют его работы по теории теплоты. Эти исследования, помимо того что содержат важнейшие результаты, относящиеся непосредственное к теории распространения тепла, имеют огромное общематематическое значение.
Первым из отечественных ученых Остроградский стал заниматься аналитической механикой. Ему принадлежат первоклассные исследования по методам интегрирования уравнений аналитической механики и разработки обобщенных принципов статики и динамики.
Наиболее выдающиеся исследования Остроградского относятся к обобщениям основных принципов и методов механики. Он внес существенный вклад в развитие вариационных принципов. Вариационные принципы механики входят в круг вопросов, интересовавших ученого в течение всей его жизни.
Его мемуар о вычислении вариаций кратких интегралов, напечатанный в 1834 году в изданиях Российской академии наук, появился в 1861 году в полном переводе как приложение к книге английского математика и историка математики Исаака Тотгентера, посвященной истории развития вариационного исчисления.
Его труды по механике, включая «Лекции по аналитической механике» и «Курс небесной механики», стали фундаментом, на котором строилась и развивалась русская школа в области механики. Работы Остроградского по математическому анализу в большинстве случаев вызваны его исследованиями по математической физике и механике: они дают решение математических вопросов, поставленных теоретическим естествознанием того времени. Так, в связи с исследованиями вопросов распространения тепла в твердом теле он получил знаменитую формулу, вошедшую теперь во все учебники математического анализа под названием формулы Остроградского—Грина. Не будет преувеличением сказать, что Остроградский внес выдающийся вклад и в математический анализ.
Детство, отрочество и юность
Михаил Васильевич Остроградский родился в деревне Пашенной Кобелякского уезда Полтавской губернии в имении своего отца и происходил из рода казацких старшин Остроградских.
Дом, где он родился, представлял собой простую хату, крытую соломой, крыльцо которой украшали две пары колонн.
Спустя много лет, когда Остроградский стал знаменитым ученым, близкие вспоминали о его настойчивой любознательности уже в первые годы жизни и видели в этом ранние проявления его таланта. В 1809 году Остроградского отдали в полтавскую гимназию, поместив его в пансион, который назывался «домом воспитания бедных дворян».
В гимназии он учился посредственно и даже удостоился такой характеристики: «Препятствует к продолжению успехов всего класса».
Вполне возможно, что именно это привело отца Остроградского к решению забрать сына из гимназии и определить в один из гвардейских полков. А именно об этом Михаил и мечтал. В 1816 году отец намеревался повезти его в Петербург, но не повез по совету дяди будущего ученого, горячо настаивавшего на определении юноши в Харьковский университет. Для подготовки к поступлению в университет Михаила Васильевича поместили на квартиру к адъюнкту, преподавателю военных наук М. К. Робушу.
В течение года Остроградский приобрел весьма хорошие успехи в науках и в августе был зачислен в студенты университета.
Он еще долго мечтал о военной службе, о мундире гвардейца и учился без удовольствия. Но отец был непреклонен. Тогда юноша стал просить родителей определить его в кременчугский пехотный полк, но и на эту просьбу последовал категорический отказ. Пришлось продолжать университетское образование.
Нельзя сказать, что первые полтора года университетских занятий прошли для Остроградского с большой пользой. Посещая университет с 21 августа 1816 года в качестве вольнослушателя и с 27 августа 1817 года в качестве студента, он первые полтора года учился плохо. Резкая перемена наступила в начале 1818-го, когда Остроградский переехал жить на квартиру университетского преподавателя математики Андрея Федоровича Павловского, который оказал огромное влияние на Остроградского, на все дальнейшее направление его интересов.
Заметив математические способности Михаила, Павловский своими дружескими беседами сумел пробудить в нем любовь к науке. С жаром принявшись за учение, Остроградский уже через два месяца поражал своего воспитателя математическими успехами.
Другим учителем Остроградского был ректор и профессор математики Харьковского университета Тимофей Федорович Осиповский. Он оказал решающее влияние на формирование научных интересов и мировоззрения Остроградского.
Увлечение занятиями не замедлило сказаться: в 1818 году Остроградский сдал экзамены за трехлетний курс университета и получил аттестат об его окончании.
Летом Михаил отдыхал в деревне у отца. После этого он вернулся в университет для «усовершенствования себя по части наук, относящихся к прикладной математике». Но общая обстановка, сложившаяся к тому времени в Харьковском университете, оказалась крайне неблагоприятной для него.
Новый попечитель университета Захарий Карнеев 25 января 1819 года дал университетской типографии распоряжение отпечатать циркуляр: «Священное писание должно служить основой при преподавании». В подобных условиях не мог остаться без последствий донос, поданный Карнееву на Осиповского, свободомыслие которого в значительной мере противостояло усилиям Карнеева по изгнанию материалистического духа из университета. Донос был сделан профессором Дудровичем.
Осиповского, любимца передового студенчества, человека откровенно материалистических убеждений, отправили в отставку, одновременно нанеся удар и по его единомышленникам и поклонникам. Одному из первых досталось его лучшему ученику Остроградскому: поступил донос, что он не посещал лекций по философии и по обязательному для всех студентов Закону Божьему. Остроградского обвинили в вольнодумстве, во введении университетского начальства в заблуждение и решили наказать, не только не дав ему аттестата на звание кандидата, но и аннулировать студенческий аттестат, выданный в 1818 году.
По другим данным, утомленный возней вокруг решения о присуждении ему степени кандидата в Харьковском университете Остроградский в знак протеста вернул университету свой аттестат и попросил вычеркнуть его имя из списков выпускников. Он так и не получил российскую ученую степень.
После четырех лет, проведенных в университете, Остроградский остался без документов об его окончании, несмотря на трехкратную успешную сдачу всех экзаменов. Но это не сломило его воли, а, скорее, побудило к дальнейшей, более настойчивой работе.
Франция: первые научные успехи
В 1822 году Остроградский уехал во Францию. Именно там формировался математический аппарат теории упругости, теории распространения тепла, математической теории электричества, магнетизма, теории распространения волн. Остроградский слушал лекции в Парижском университете, в Коллеж де Франс, регулярно посещал еженедельные заседания Академии наук. В Политехнической школе, Сорбонне, в Коллеж де Франс он слушает лекции Коши, Фурье, Лапласа, Монжа, Пуассона, Лежандра, Штурма, Понселе, Вине и других знаменитых ученых, пролагавших новые пути в математическом анализе, математической физике и механике.
Остроградский был необычным студентом и сразу обратил на себя внимание. В отличие от других он начал обучение, уже имея приличную математическую подготовку и определенные научные интересы. Он не заботился о получении аттестата об окончании высшего учебного заведения, не приходил на экзамены, но не по причине неспособности к учению, а наоборот, потому что прежде всего стремился получить знания, освоить новейшие результаты работы своих знаменитых учителей.
Все его внимание было сосредоточено на занятиях наукой, при этом он был крайне стеснен в средствах, но сохранял бодрость духа, был весел и наделен простодушным юмором. Все это не могло не подкупать французских математиков. Его приглашал к себе отобедать даже Огюстен Коши, очень придирчиво относившийся к молодежи и не жаловавший ее своим вниманием.
В Петербургской математической школе сохранилось такое предание, записанное академиком Алексеем Николаевичем Крыловым: «По какой-то причине в 1826 году Остроградский денег от отца своевременно не получил, задолжал в гостинице “за харч и постой” и по жалобе хозяина был посажен в “Клиши”, т. е. в долговую тюрьму в Париже. Здесь он, видимо, особенно усердно занимался математикой, написал свою знаменитую работу “Мемуар о распространении волн в цилиндрическом бассейне” и послал эту работу Огюстену Коши. Тот в ноябре 1826 года представил этот мемуар с самым лестным отзывом Парижской академии, которая удостоила эту работу высшего отличия — напечатания в Memoires des savants etrangers a l'Academie, т. е. в “Записках ученых? посторонних Академии”. Более того, Коши сам, не будучи богатым человеком, выкупил Остроградского из “долгового”». Предание это или нет, но работа была действительно высоко оценена академией и напечатана.
А Коши писал: «…Один русский молодой человек, одаренный большой проницательностью и весьма искусный в вычислении бесконечно малых, Остроградский, прибегнув также к употреблению тех же интегралов и к преобразованию их в обыкновенные, дал новое доказательство формул, мною выше упомянутых, и обобщил другие формулы, помещенные мной в 19-й тетради Политехнической школы. Господин Остроградский любезно сообщил мне главные результаты своей работы».
Возвращение и научный взлет
Семь лет интенсивных занятий математикой в Париже не прошли даром, Остроградский возвращался в Россию сложившимся ученым. Он был молод, знал себе цену и был полон честолюбивых планов. В 1828 году молодой человек отправился покорять Петербург, но торжественный въезд в столицу Российской империи явно не удался. Он прибыл из Франкфурта не в экипаже, как подобало дворянину, а пешком, да еще в столь оборванном виде, что не мог не обратить на себя внимания окружающих.
Ко времени своего возвращения в Россию Михаил Васильевич не имел никакого аттестата о высшем образовании. Но ряд прекрасных работ, представленных Академии наук в Петербурге в течение 1828 года, и репутация талантливого ученого, приобретенная Остроградским в Париже и быстро донесшаяся до России, принесли ему заслуженную известность.
Семнадцатого декабря 1828 года Остроградский был избран адъюнктом Академии наук. К этому времени в изданиях академии были уже напечатаны три его статьи, относящиеся к задачам математической физики и математического анализа. В следующем году он снова напечатал в изданиях академии три работы — по механике, теории теплоты и об интегрировании уравнений теории упругости. В том же году он начал чтение в академии курса небесной механики. Лекции продолжались с ноября 1829 года по март 1839-го и собрали невиданное по тому времени число слушателей — до тридцати.
Девятнадцатого августа 1830 года произошло радостное для Остроградского событие — он был избран экстраординарным академиком. Через год, 21 декабря 1831 года, его избрали ординарным академиком по прикладной математике.
Интенсивная деятельность Остроградского продолжалась в Академии наук свыше тридцати лет; за это время в каждом томе «Записок» академии были помещены его мемуары. Содержание этих мемуаров предварительно докладывалось на собраниях академии.
Показательна следующая история. Именем Остроградского назван эллиптический интеграл, который Михаил Васильевич впервые сумел взять в 1837 году, но полностью он называется интегралом Эрмита—Остроградского, потому что ту же работу одновременно и независимо проделал француз Шарль Эрмит. Известен исторический анекдот об этом интеграле. Клейнмихель, глава строительства Петербург-Московской железной дороги, доложил царю, что в одном месте придется обходить возвышенности, так как профиль местности не поддается расчету. Вычисления приводят к эллиптическому интегралу, а такие интегралы не берутся. Российский самодержец, однако, начертал на рапорте Клейнмихеля: «Повелеваю интегрировать». Клейнмихель кинулся в университет, и молодой профессор Остроградский через месяц дал решение эллиптических интегралов.
Педагогическая деятельность Михаила Васильевича Остроградского началась 1 октября 1828 года в офицерских классах Морского кадетского корпуса, в которых он преподавал курс математики и начертательную геометрию. Летом 1830-го он был зачислен профессором Института корпуса путей сообщения. Здесь он вел курс аналитической механики. В конце января 1831 года Остроградский был приглашен профессором Главного педагогического института и читал там разнообразные курсы, как по математике, так и по механике. Со всеми этими учебными заведениями он не порывал связи до конца своей жизни.
Летом 1840 года к этой уже весьма напряженной педагогической деятельности прибавилось преподавание в Главном инженерном училище, а через год и в Главном артиллерийском училище. В то же время он был утвержден главным наблюдателем за преподаванием математических наук в военно-учебных заведениях и в учебных заведениях Корпуса путей сообщения.
Кроме того, Остроградский писал учебники, которые издавались как типографским, так и литографским способами. Известны его лекции по небесной механике, аналитической механике, алгебраическому анализу, дифференциальному и интегральному исчислению, аналитической геометрии. Был издан его учебник элементарной геометрии, конспект курса тригонометрии, брошюра о принципах преподавания детям и политехнические таблицы. Последние два произведения были написаны совместно с профессором Блумом.
Основную цель образования Остроградский видел в том, чтобы развить у учащихся способность анализировать наблюдаемые явления и пробудить в них желание и способность мыслить самостоятельно, не просто заучивать пройденное, а понимать его и научиться применять к поручаемому делу.
Он писал: «Лучше учится не тот, кто усердно запоминает прочитанное, а тот, кто приобретает умение применять пройденное к своему делу!»
Эту мысль Остроградский отстаивал постоянно, и именно поэтому он особенно ценил учеников сообразительных и отличающихся способностью самостоятельно решать встречавшиеся в их работе задачи. В систематическом и собранном виде общие педагогические взгляды Остроградского были изложены в сочинении «Размышления о преподавании».
Остроградский воспитал целую плеяду талантливых учеников, впоследствии ставших выдающимися представителями науки. В их числе И. А. Вышнеградский — основоположник теории автоматического регулирования; Н. П. Петров — создатель гидродинамической теории смазки и автор классических исследований по теории механизмов, А. Н. Тихомандрицкий, Е. И. Бейер, Д. М. Деларю, Е. Ф. Сабинин — профессора математики, а также многие другие математики и выдающиеся инженеры.
Есть сведения, что Остроградский на свои средства издавал работы знаменитых математиков — Эйлера, Гаусса и других. Если это так, то средств у него было далеко не достаточно и он постоянно испытывал нужду в деньгах.
Но и у великих бывают просчеты. В 1832 году Остроградский дал отрицательный отзыв о революционной работе Лобачевского по неевклидовой геометрии. Работа была написана трудным языком, чего выдающийся лектор и рассказчик Остроградский не мог простить никому: «Автор, по-видимому, задался целью писать таким образом, чтобы его нельзя было понять. Он достиг этой цели: большая часть книги осталась столь же неизвестной для меня, как если бы я никогда не видел ее».
Как специалист по интегральному исчислению, Остроградский не простил автору ошибку в одном определенном интеграле, вычисленном при помощи неевклидовой геометрии. На самом деле, материал Лобачевского в «Казанском вестнике» изобиловал опечатками. Окончательный отзыв гласил: «Работа г-на ректора Лобачевского опорочена ошибкой… она небрежно изложена… следовательно, не заслуживает внимания Академии».
Лето 1861 года Остроградский, по обыкновению, провел в своей деревне. Во время купания слуга брата заметил на спине Остроградского нарыв, оказавшийся быстро растущей злокачественной опухолью. Была проведена операция. Но Остроградскому становилось все хуже и хуже.
Первого января 1862 года Остроградский скончался. Согласно завещанию, Михаил Васильевич Остроградский был погребен в своей родной деревне.





